·  LMS  ·  GWR  ·  LNER  ·  Misc  ·  Stations  ·  What's New  ·  Video  ·  Guestbook  ·  About

LMS Route: Hampton in Arden to Whitacre

B&DJR Documentation: mrsbr1175

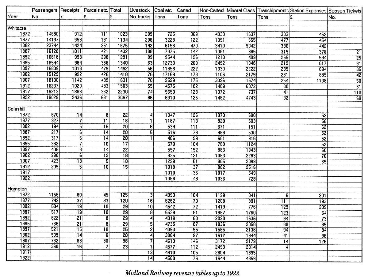
A table of revenue from 1872 to 1922 for the Midland Railway stations at Whitacre, Coleshill and Hampton

A table of revenue from 1872 to 1922 for the Midland Railway stations at Whitacre, Coleshill and Hampton.

back